Предмет: Алгебра,
автор: puchkarevaolga
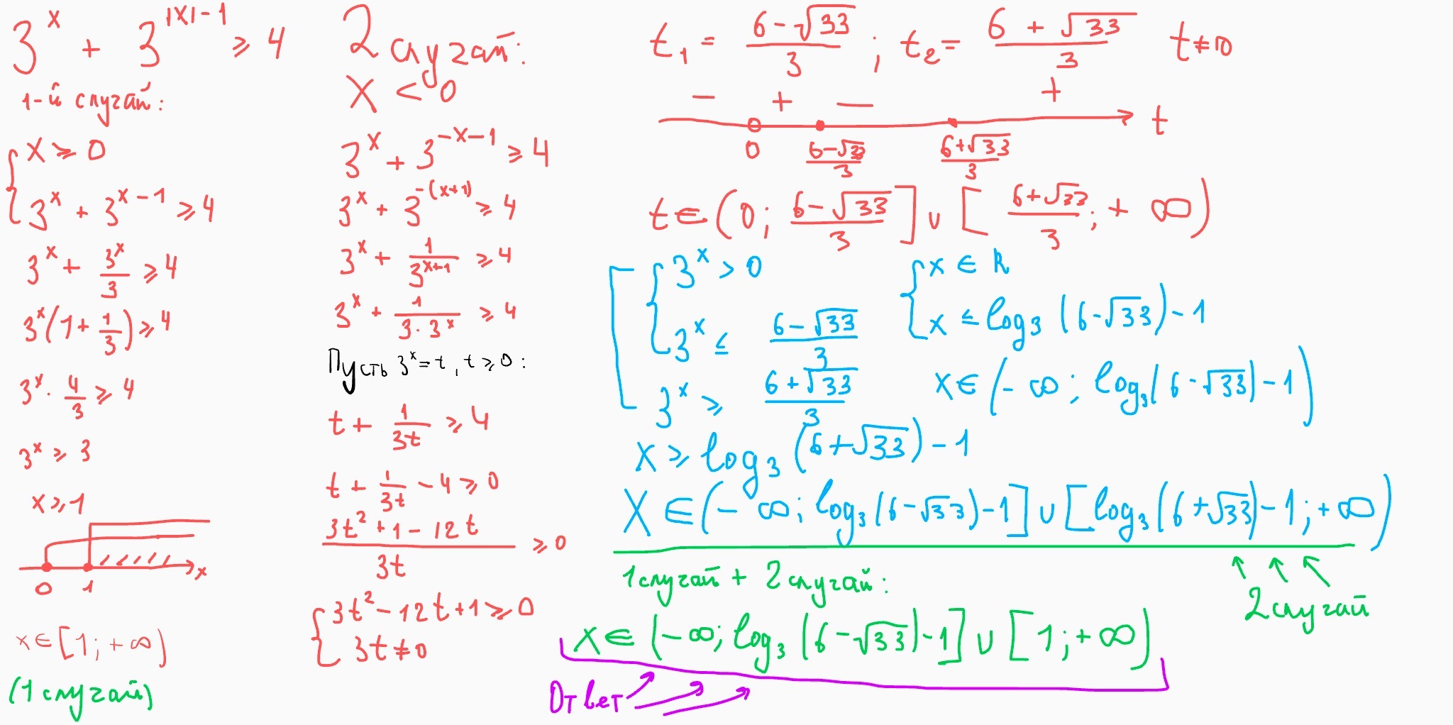
Решить геравенство: 3^x+3^(|x|-1)≥4
Ответы
Автор ответа:
0
Готово! Ответ на фото:
Приложения:
Похожие вопросы
Предмет: Математика,
автор: artgreat16
Предмет: Английский язык,
автор: sasuke537
Предмет: Литература,
автор: zholamanmukhammed10
Предмет: Математика,
автор: Аlex1
Предмет: История,
автор: karachagina16