Предмет: Алгебра, автор: nomi4510idm

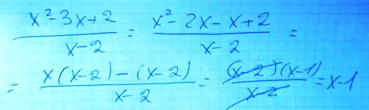
скоротить дробь х2-3х+2/х-2

Ответы

Автор ответа: miron2077
1

!!!!!!!!!!!!!!!!!!!!!!!!!!

Приложения:

nomi4510idm: а где взялся х-1
miron2077: и в чем же нарушение?
Похожие вопросы
Предмет: Математика, автор: sholpanshantimisova
Предмет: Русский язык, автор: natibunyakk
помогите помогите помогите помогите помогите помогите помогите помогите помогите помогите помогите помогите помогите помогите помогите помогите помогите помогите помогите помогите помогите помогите помогите помогите помогите помогите помогите помогите помогите помогите помогите помогите помогите помогите помогите помогите помогите помогите помогите помогите помогите помогите помогите помогите помогите помогите помогите помогите помогите помогите помогите помогите помогите помогите помогите помогите помогите помогите помогите помогите помогите помогите помогите помогите помогите помогите помогите помогите помогите помогите помогите помогите помогите помогите помогите помогите помогите помогите помогите помогите помогите помогите помогите помогите помогите помогите помогите помогите помогите помогите помогите помогите помогите помогите помогите помогите помогите помогите помогите помогите помогите помогите помогите помогите помогите помогите помогите помогите помогите помогите помогите помогите помогите помогите помогите помогите помоги​
Предмет: Математика, автор: ainurbaigazinovaa
ПОМОГИТЕЕЕЕЕ ПОЖААААЛУУУУУЙСТАААААААА СРОООООЧЧЧНОООООО ♡♡♡



Математический диктант «Верно-неверно»    Выполняете письменно в тетради. За диктант ставится отдельный балл в кунделик. 1.     Запись, в которой знаком неравенства соединены два равных числовых выражения, называется числовым равенством. 2.     Если к обеим частям верного числового равенства прибавить одно и то же число, то получится верное числовое равенство. 3.     Любое слагаемое можно перенести из одной части верного числового равенства в другую, поменяв знак слагаемого на отрицательный. 4.     Если обе части верного числового равенства умножить или разделить на любое отрицательное число, то получится верное числовое равенство. 5.     Два верных числовых равенства можно почленно складывать или умножать, то также получится верное числовое равенство.   ​