Предмет: Алгебра,
автор: bestmusic
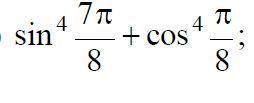
Помогите вычислить.....................................
Приложения:
Ответы
Автор ответа:
0
............ ........
Приложения:
Похожие вопросы
Предмет: Русский язык,
автор: unkerovavala657
Предмет: Математика,
автор: Аноним
Предмет: Математика,
автор: sholpanshantimisova
Предмет: Музыка,
автор: nafankai07
Предмет: Алгебра,
автор: hjgkfnkr