Предмет: Алгебра,
автор: 2936262736
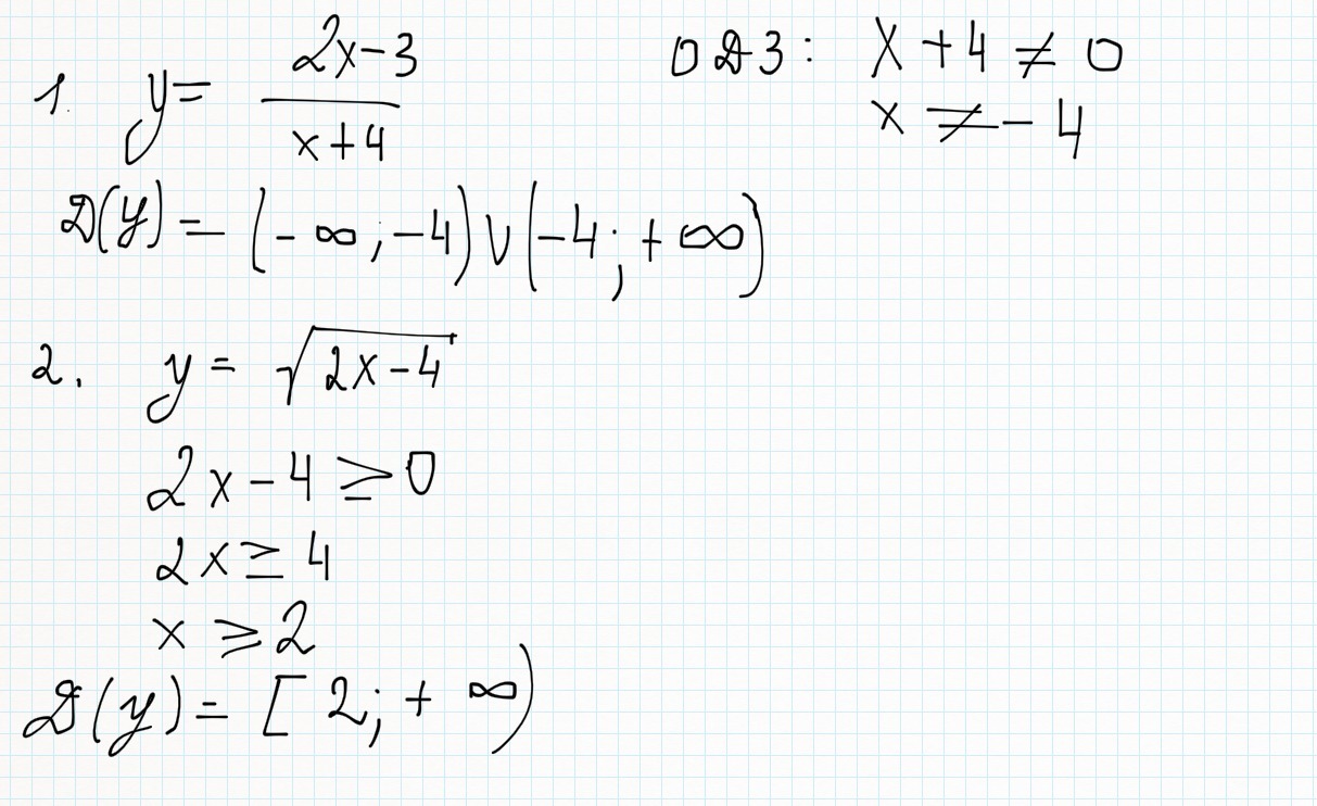
Найдите облость определения ункции, заданной формулы. a) y=2x-3/x+4; b) y=корень 2x-4
Ответы
Автор ответа:
0
1) знаменатель не должен равняться нулю:
х + 4 ≠ 0
х ≠ -4
Область определения: все числа, кроме -4.
2) Подкоренное выражение должно быть >=0:
2x - 4 >=0
2x >= 4
x >= 2
Область определения: [2; +беск)
х + 4 ≠ 0
х ≠ -4
Область определения: все числа, кроме -4.
2) Подкоренное выражение должно быть >=0:
2x - 4 >=0
2x >= 4
x >= 2
Область определения: [2; +беск)
Автор ответа:
0
......................................
Приложения:
Похожие вопросы
Предмет: Химия,
автор: juliakongratik
Предмет: Математика,
автор: ktotonadezda
Предмет: Алгебра,
автор: soooogdiii
Предмет: География,
автор: rodik2001
Предмет: Математика,
автор: karina396