Предмет: Физика,
автор: sadulaevamadina000
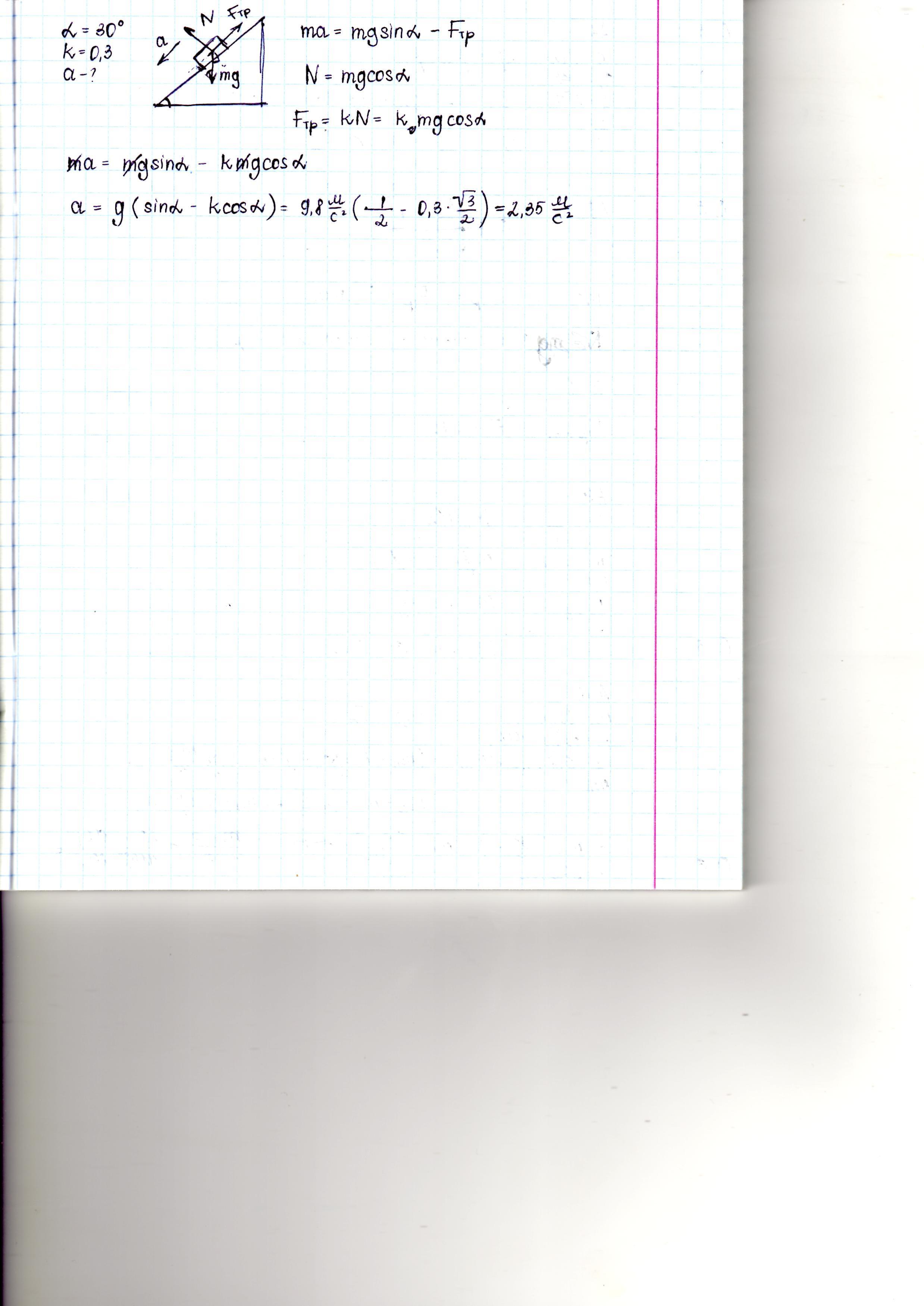
найти ускорение а тела соскальзывающего с наклонной плоскостью образуещей с горизонтом угол а=30°.Коффициэнт трения между телом с плоскостью k=0,3
Ответы
Автор ответа:
0
Решение на скане ниже
Приложения:
Похожие вопросы
Предмет: История,
автор: bokisvioletta70
Предмет: Химия,
автор: uchenik34595
Предмет: Қазақ тiлi,
автор: ryskulsaparkyzy
Предмет: География,
автор: DANILKA22980
Предмет: Геометрия,
автор: yulya012601