Предмет: Алгебра,
автор: aytanpashaeva
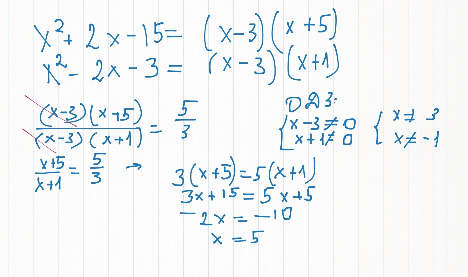
Номер 6 пожалуйста спасибо заранее
Приложения:
Ответы
Автор ответа:
1
.......................................................
Приложения:
aytanpashaeva:
Спасибо
Похожие вопросы
Предмет: Английский язык,
автор: bektarbekovaajganym4
Предмет: Физика,
автор: eugeniodepez
Предмет: Математика,
автор: bezlepkinartem0
Предмет: Литература,
автор: Аноним