Предмет: Алгебра,
автор: sashulichkaholivchun
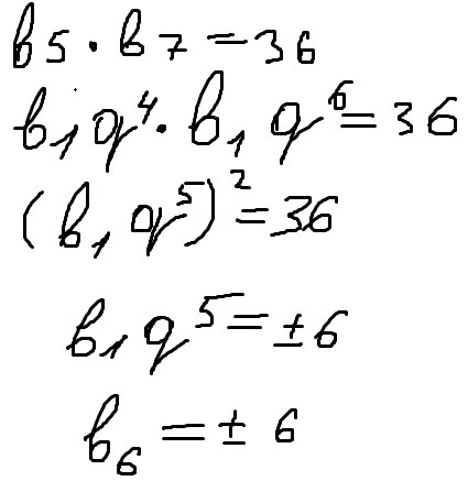
Знайдіть шостий член геометричної прогресії, якщо b5×b7=36
Ответы
Автор ответа:
1
решение прикрепил во вложении
Приложения:
Автор ответа:
0
Решение задания приложено
Приложения:
Похожие вопросы
Предмет: Русский язык,
автор: cirikovartem441
Предмет: Информатика,
автор: 4ernovdanil2008
Предмет: ОБЖ,
автор: mfonk
Предмет: Информатика,
автор: Аноним
Предмет: Биология,
автор: bellaparker