Предмет: Алгебра,
автор: VichkaBK
кто знает ? пожалуйста))
Приложения:
Ответы
Автор ответа:
1
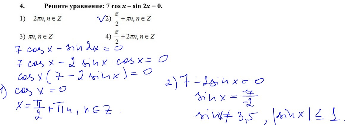
.................. .................... .........................
Приложения:
Похожие вопросы
Предмет: Физика,
автор: x4b86kyccv
Предмет: Геометрия,
автор: okaevislam80
Предмет: Физика,
автор: YouIjhg
Предмет: Информатика,
автор: izombie76
Предмет: Биология,
автор: котученый7