Предмет: Математика,
автор: leylaatpbp0rd
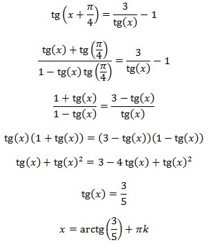
Решите уравнения пожалуйста
Приложения:
Ответы
Автор ответа:
0
Решение в картинке. Удачи)
Приложения:
Похожие вопросы
Предмет: Английский язык,
автор: wjwhhwwj
Предмет: Информатика,
автор: dentrend242010
Предмет: Физика,
автор: egorkarp149
Предмет: Алгебра,
автор: Xima5
Предмет: Алгебра,
автор: Аноним