Предмет: Алгебра,
автор: фятник
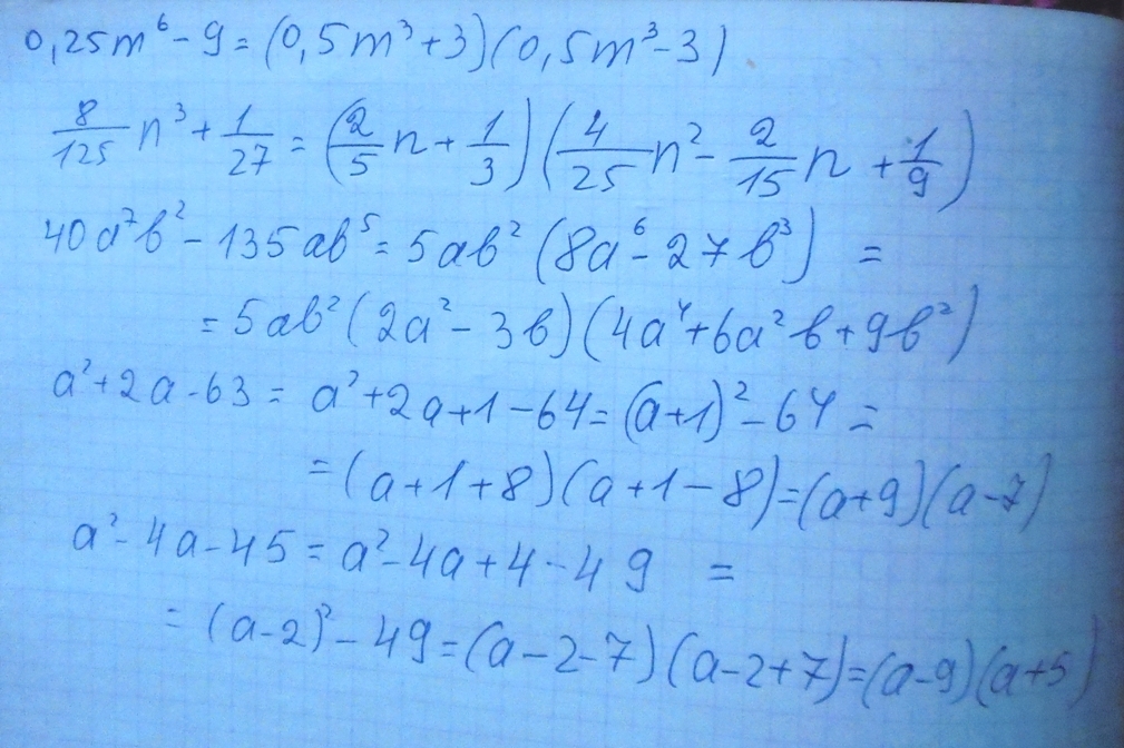
разложение многочлена на множители
Приложения:
Ответы
Автор ответа:
1
!!!!!!!!!!!!!!!!!!!!!!!!!!!!!!!!!
Приложения:
Похожие вопросы
Предмет: Биология,
автор: aleksejigonin1173
Предмет: Қазақ тiлi,
автор: viktoriazaharkova17
Предмет: Математика,
автор: matvey6556
Предмет: Математика,
автор: лена63р1