Предмет: Математика,
автор: yusifaskeri
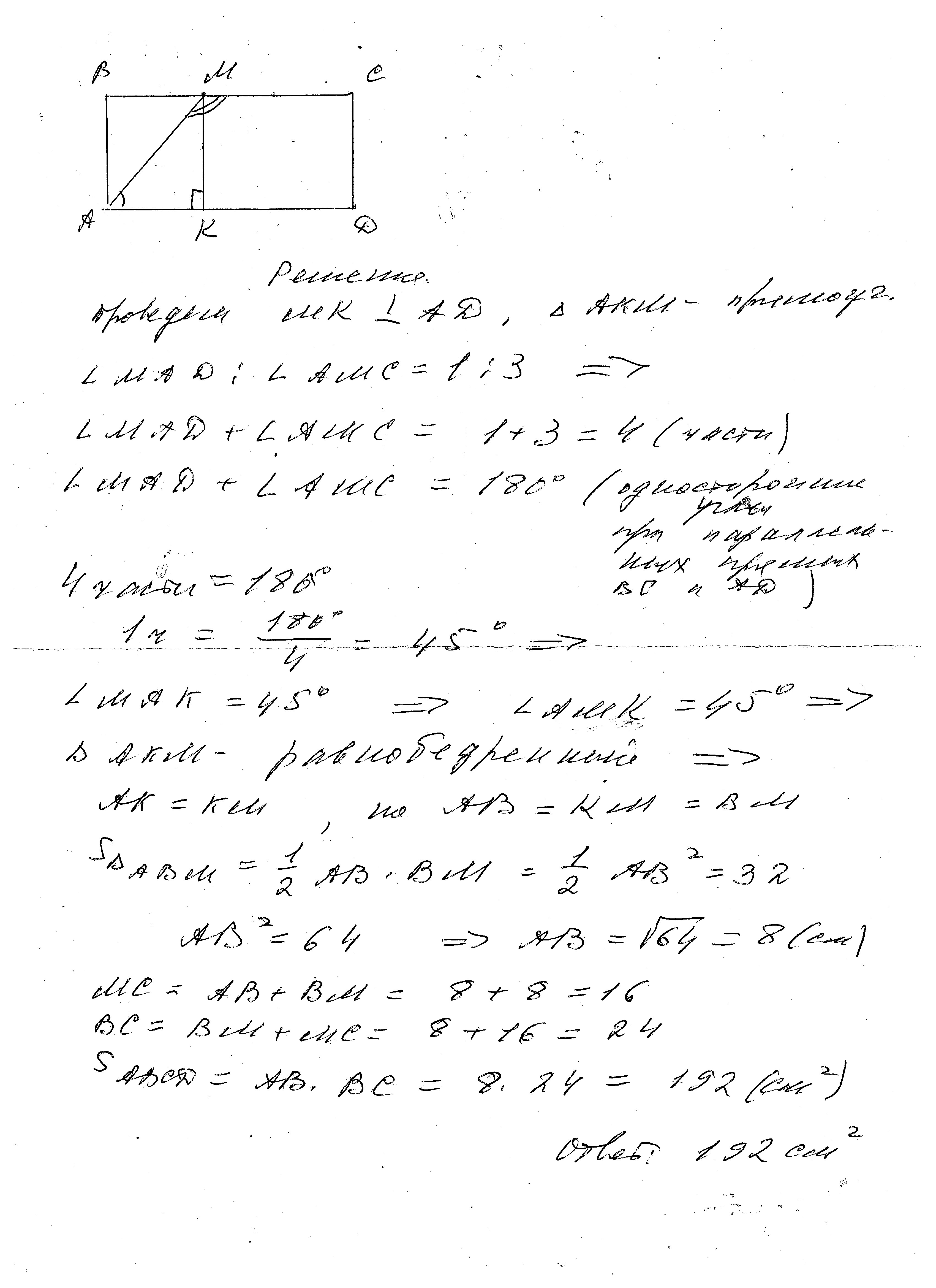
По подробнее пожалуйста
Приложения:
Ответы
Автор ответа:
0
решение - в приложении
Приложения:
Похожие вопросы
Предмет: Қазақ тiлi,
автор: viktoriazaharkova17
Предмет: Математика,
автор: matvey6556
Предмет: Английский язык,
автор: legabi1bi
Предмет: Математика,
автор: KOTEHuK
Предмет: Математика,
автор: suzi1004