Предмет: Алгебра,
автор: barabashka17
помогите с алгеброй
Приложения:
Ответы
Автор ответа:
1
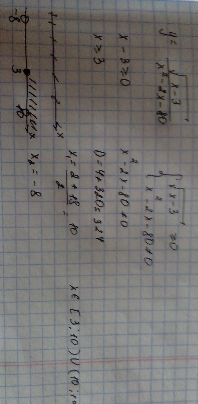
Решение на фото , удачи
Приложения:
Похожие вопросы
Предмет: Биология,
автор: trynet70
Предмет: География,
автор: annaahtyrskaa99
Предмет: История,
автор: karinadautkulova
Предмет: Математика,
автор: liza601
Предмет: Литература,
автор: Аноним