Предмет: Математика,
автор: katerinakosh20
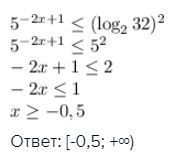
Помогите решить неравенство
Приложения:
Ответы
Автор ответа:
1
Ответ: [-0,5; +∞)
Приложения:
Похожие вопросы
Предмет: География,
автор: yariktwinkaccaunt
Предмет: История,
автор: rremaxx138
Предмет: Қазақ тiлi,
автор: dhdhdjxbix
Предмет: Математика,
автор: usmanova04lera