Предмет: Математика,
автор: shakspir
СРОЧНО!!!!!!!!!!!!!!!!!!!
Приложения:
Ответы
Автор ответа:
1
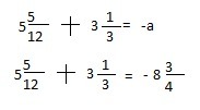
минус 8 целых три четвертых
Приложения:
shakspir:
а решение?
прикрепил к решению скрин, (в паинте нарисовал)
Похожие вопросы
Предмет: Математика,
автор: Аноним
Предмет: Қазақ тiлi,
автор: Аноним
Предмет: Математика,
автор: Sabina7799
Предмет: История,
автор: olesya140659