Предмет: Алгебра,
автор: SOREX59
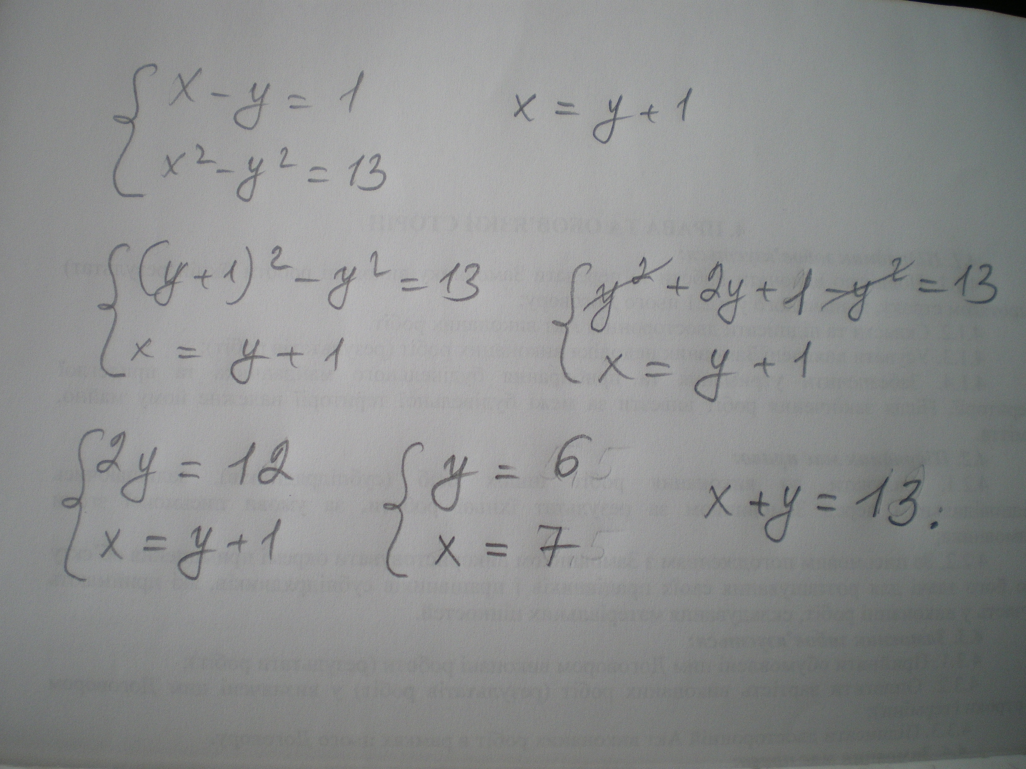
Решите систему уравнений, в ответе запишите сумму корней, то есть x + y
Приложения:
Ответы
Автор ответа:
5
(x-y)(x+y)=13
A x-y из первого уравнения 1
x+y=13
Ответ: 13
Автор ответа:
8
::::::::::::::::::::::решение
Приложения:
Похожие вопросы
Предмет: Другие предметы,
автор: cergei120401
Предмет: Английский язык,
автор: anasucok7
Предмет: Математика,
автор: hdgxp8kt8j
Предмет: Литература,
автор: дарина199