Предмет: Алгебра,
автор: eliseevermat
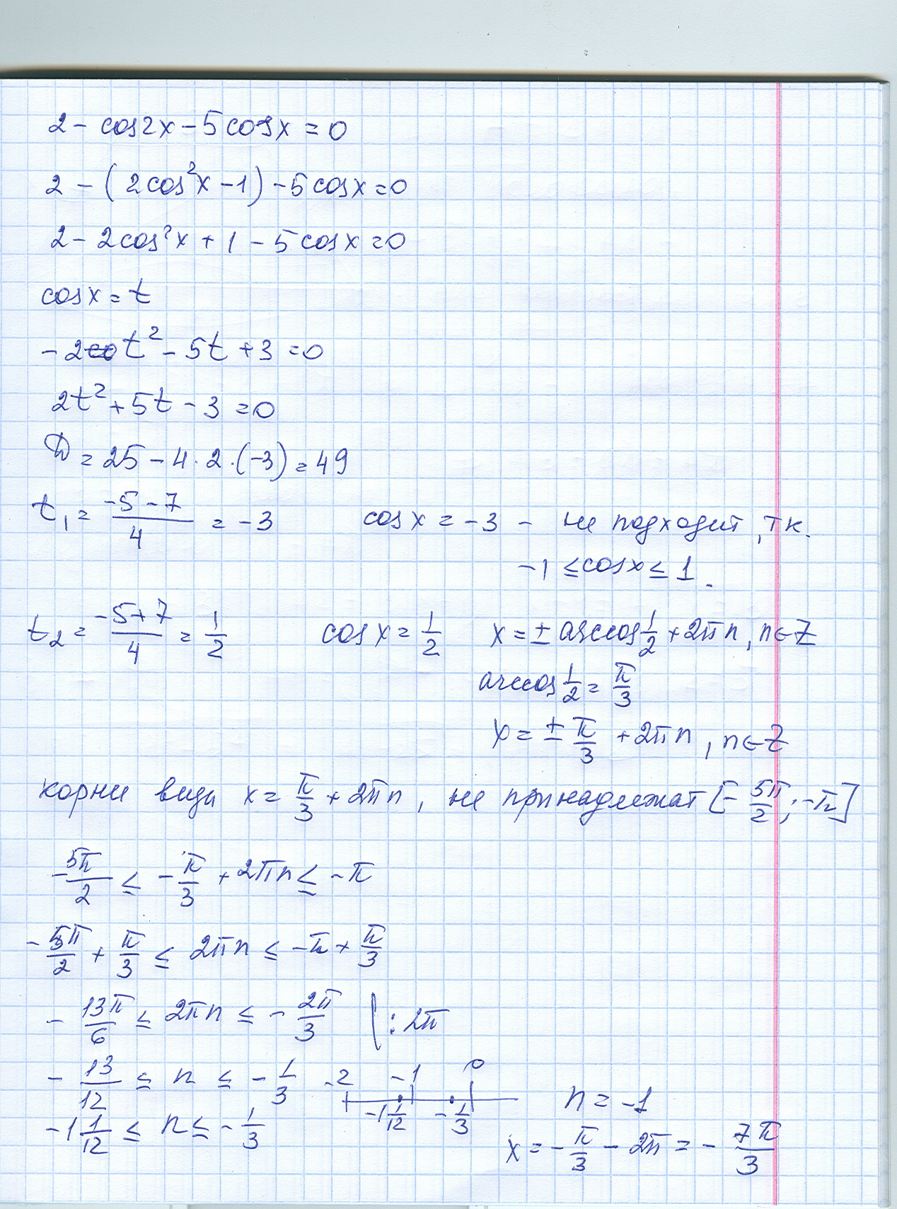
решите уравнение 
Найдите все корни принадлежащие отрезку ![[-\frac{5p}{2} ; -p] [-\frac{5p}{2} ; -p]](https://tex.z-dn.net/?f=+%5B-%5Cfrac%7B5p%7D%7B2%7D+%3B+-p%5D+)
P.S. P есть число Пи
Ответы
Автор ответа:
1
решение
---------------
Приложения:
Похожие вопросы
Предмет: Русский язык,
автор: zarinaiuldasheva
Предмет: Обществознание,
автор: rhasanov448
Предмет: Українська література,
автор: NotFound303
Предмет: Математика,
автор: KseniaZarya
Предмет: Математика,
автор: ЛианаДаудова