Предмет: Математика,
автор: danya2004hi
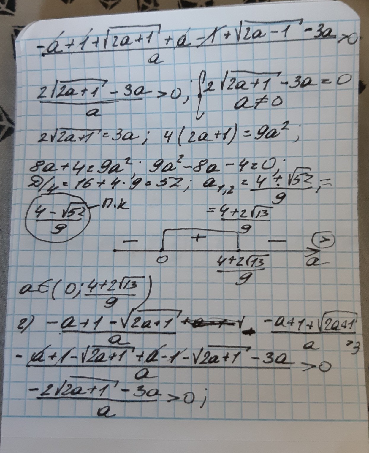
Найдите все значения параметра а ,при которых расстояние между корнями больше 3 .

Ответы
Автор ответа:
1
решение на фотографии
Приложения:
Похожие вопросы
Предмет: География,
автор: bogdanmaslennikov49
Предмет: Русский язык,
автор: pecenkovadasa860
Предмет: Биология,
автор: polkis
Предмет: Математика,
автор: мария1003
Предмет: Обществознание,
автор: filin365