Предмет: Геометрия,
автор: d05v
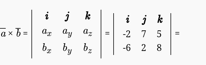
найти площадь параллелограмма построенного на векторах a(-2,7,5) b(-6,2,8)
Ответы
Автор ответа:
2
Площадь параллелограмма, построенного на векторах, равна модулю их векторного произведения:
(продолжение картинки) = i*(7*8-2*5) - j*(-2*8-5*(-6)) + k*(-2*2 - 7*(-6)) = 46i - 14j + 38k = (46,-14,38)
S = |a×b| = sqrt (46^2 + (-14)^2 + 38^2) = sqrt(3756) = 2sqrt(939)
(продолжение картинки) = i*(7*8-2*5) - j*(-2*8-5*(-6)) + k*(-2*2 - 7*(-6)) = 46i - 14j + 38k = (46,-14,38)
S = |a×b| = sqrt (46^2 + (-14)^2 + 38^2) = sqrt(3756) = 2sqrt(939)
Приложения:
Похожие вопросы
Предмет: Алгебра,
автор: sofiya2704
Предмет: Русский язык,
автор: djajndjfdj
Предмет: Українська література,
автор: Ryabchenko80
Предмет: Биология,
автор: abdurashitovadi
Предмет: Математика,
автор: OlgaOG1