Предмет: Алгебра,
автор: Аноним
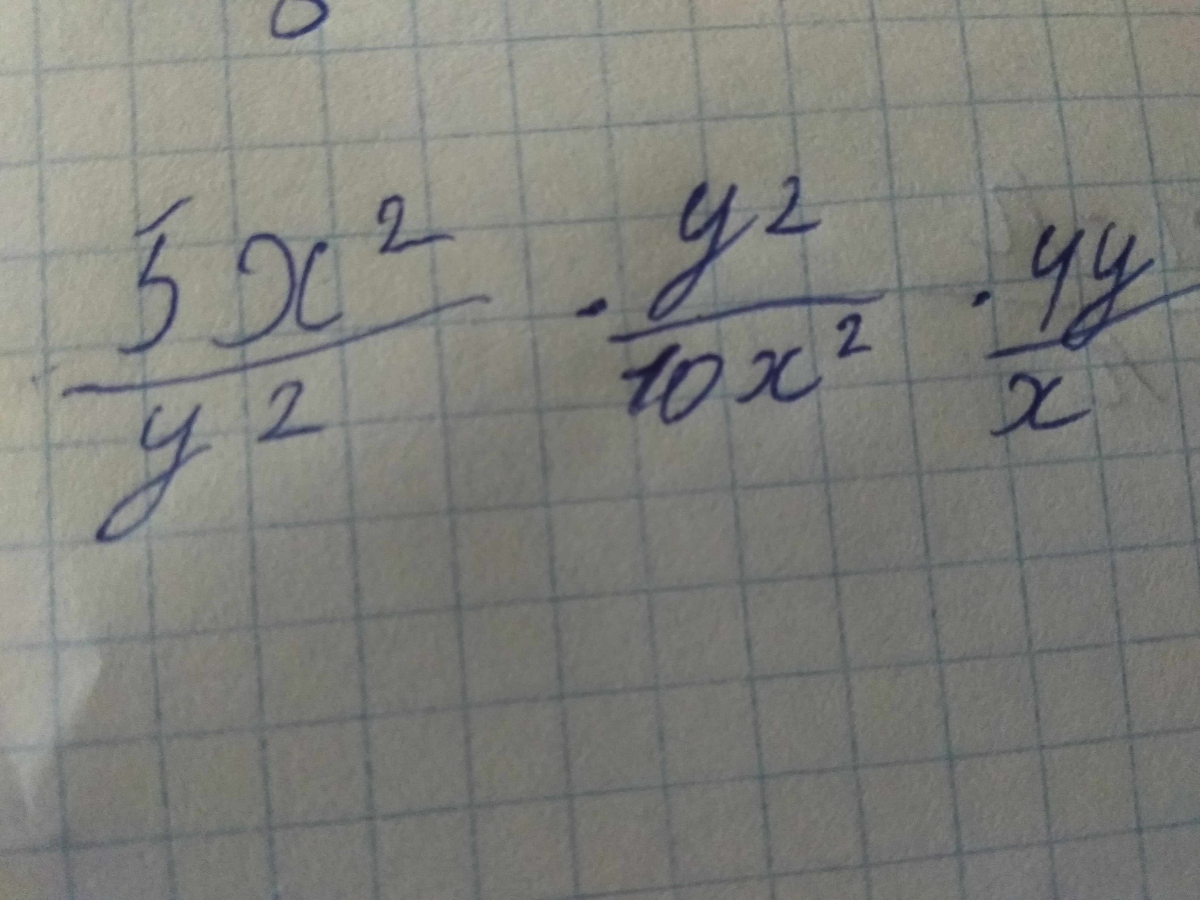
Спростити вираз
Поможіть будь ласка
Приложения:
Ответы
Автор ответа:
0
Похожие вопросы
Предмет: Геометрия,
автор: zoficreativity
Предмет: Литература,
автор: zaurovaleksandr59
Предмет: Литература,
автор: lipakrom49a0
Предмет: Химия,
автор: анчоус4
Предмет: Физика,
автор: никита1552