Предмет: Физика, автор: Vlad4nDSlav

Нужна помощь!
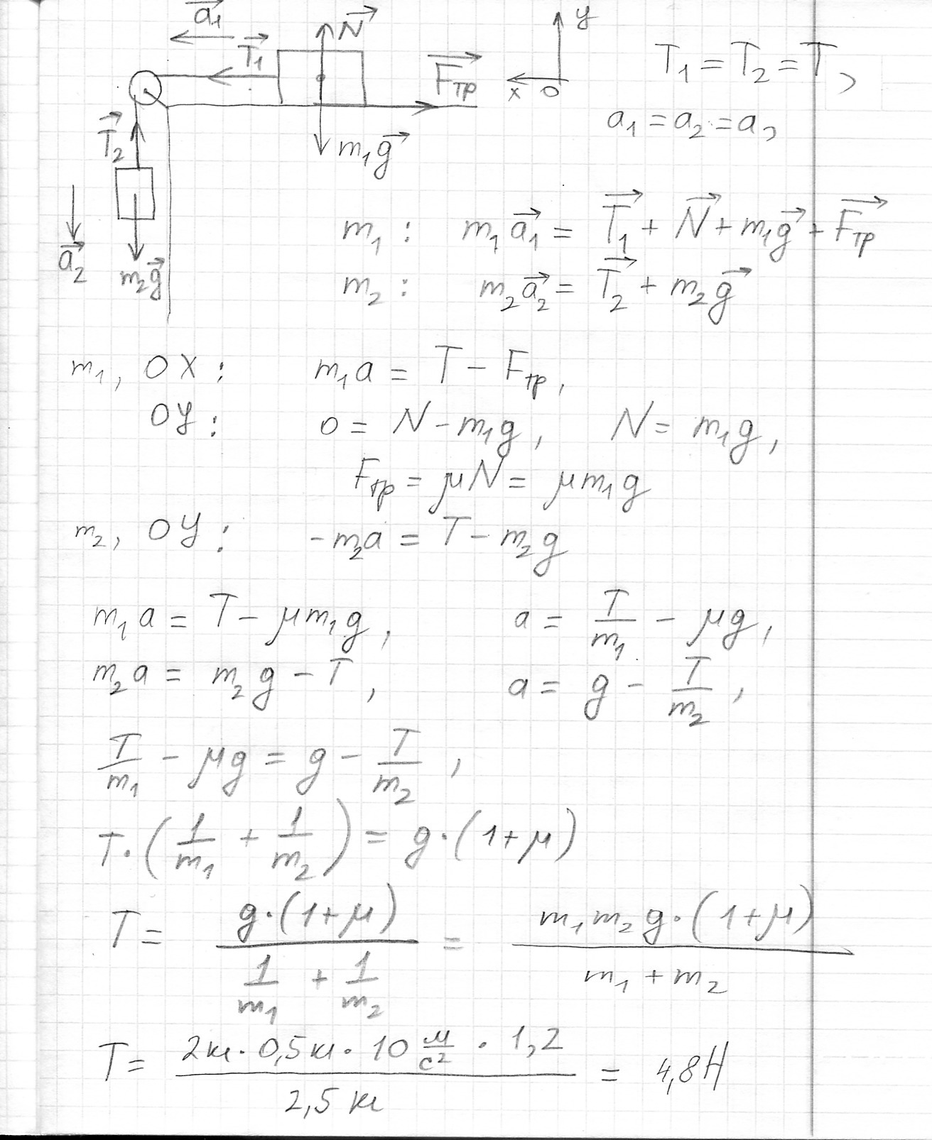
Масса первого груза - 2 кг, второго - 500 г (см. рисунок). Какой будет сила натяжения нити, которая их соединяет, если коэффициент трения между первым грузом и столом составляет 0,2? считайте, что g = 10 м/с²
А 4,8 Н
Б 5 Н
В 15 Н
Г 20 Н
(с обьяснениями, пожалуйста)

Приложения:

Аноним: грузы покоятся? или движутся?
Vlad4nDSlav: покоятся

Ответы

Автор ответа: Аноним
1

я написал решение на листочке ===>>

Приложения:

Vlad4nDSlav: иало ли..
Аноним: 4,8 Н выходит если грузы движутся.
Аноним: могу написать решение, если грузы движутся
Vlad4nDSlav: да, пожалуйста
Аноним: я добавил еще один листочек
Vlad4nDSlav: я его не вижу
Аноним: обнови страницу
Vlad4nDSlav: спасибо!
Аноним: https://hkar.ru/UFOD
Vlad4nDSlav: бросил заявку в друзья
Автор ответа: artushx
0

Можно решать через разные направления осей, при этом формула получится одним и тем же.

Приложения:

Vlad4nDSlav: посмотрите предыдущий ответ, там должно получиться 4.8 H
artushx: Да. Если тело покоится ускорение не учитывается.
artushx: *тела
Похожие вопросы
Предмет: Алгебра, автор: Егорчик1111