Предмет: Химия,
автор: SofiyaBabych
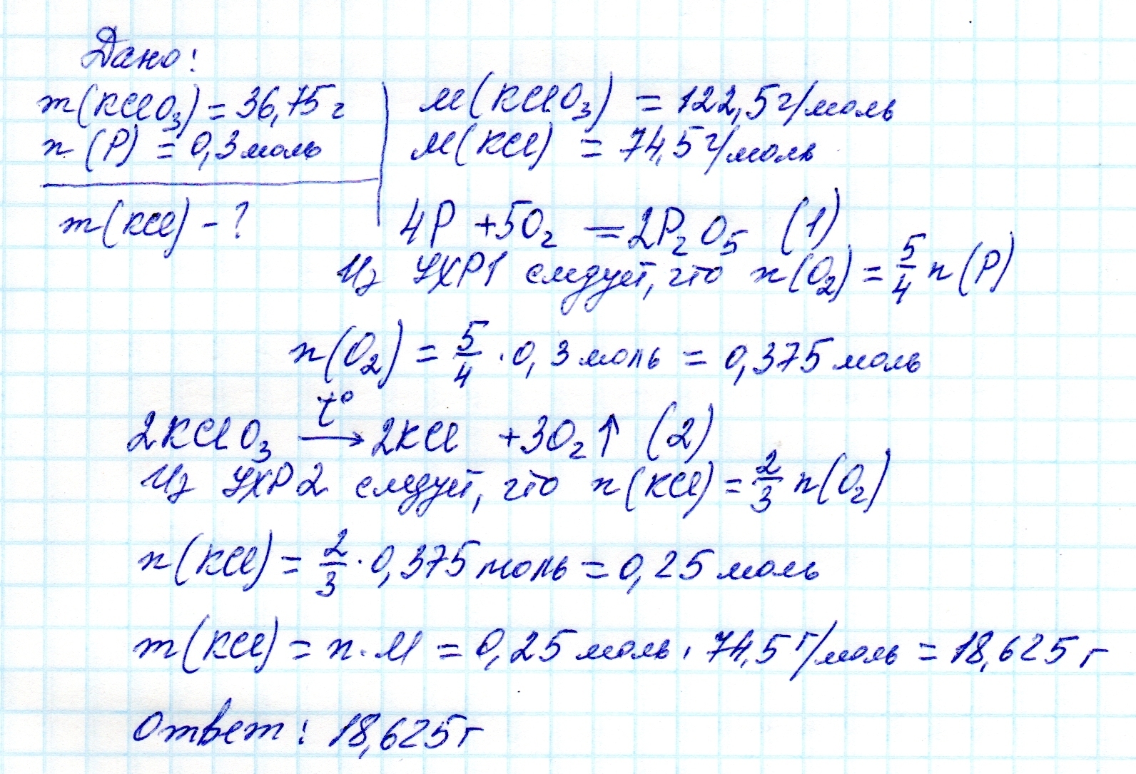
Кисень, який виділився під час неповного термічного розкладу 36.75 калій хлорату витратили на спалювання 0.3моль фосфору. Визначте масу калій хлориду, який одержали під час розкладу калій хлорату.
Ответы
Автор ответа:
6
.....................................................................
Приложения:
Похожие вопросы
Предмет: Математика,
автор: arisakim12024
Предмет: Биология,
автор: hahbahah4
Предмет: Математика,
автор: ludmy17la
Предмет: Математика,
автор: Аноним
Предмет: Алгебра,
автор: Лёшка15