Предмет: Алгебра,
автор: sukhanovaanast1
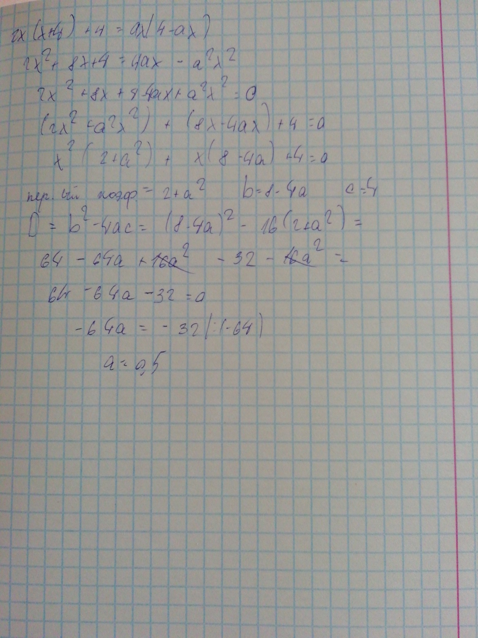
При каких значениях а уравнение имеет только один корень?
Ответы
Автор ответа:
1
!!!!!!!!!!!!!!!!!!!!!!
Приложения:
Автор ответа:
1
Для начала раскроем скобки. Получим:

Перенесем всё в одну сторону и приведём полученное выражение к квадратному:

Данное выражение является квадратным так как коэффициент при x^2 никогда не равен нулю. У данного выражения есть один корень тогда и только тогда, когда дискриминант равен нулю, то есть

Раскрывает скобки и упрощаем полученное выражение.
Получим:

Это линейное уравнение, решением которого является значение a=0.5
Ответ:a=0.5
Перенесем всё в одну сторону и приведём полученное выражение к квадратному:
Данное выражение является квадратным так как коэффициент при x^2 никогда не равен нулю. У данного выражения есть один корень тогда и только тогда, когда дискриминант равен нулю, то есть
Раскрывает скобки и упрощаем полученное выражение.
Получим:
Это линейное уравнение, решением которого является значение a=0.5
Ответ:a=0.5
Похожие вопросы
Предмет: География,
автор: yejsbsgsiakbasg
Предмет: Обществознание,
автор: krasnslav
Предмет: Химия,
автор: kozlovartem925
Предмет: Математика,
автор: Яна200300
Предмет: Математика,
автор: Аноним