Предмет: Математика,
автор: misisshef
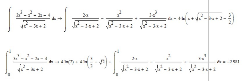
Помогите решить,пожалуйста. Пример на фото.
Приложения:
Ответы
Автор ответа:
1
какой-то у тебя маленький интеграл
Приложения:
misisshef:
Большое спасибо
Похожие вопросы
Предмет: Алгебра,
автор: bpinyar16
Предмет: Английский язык,
автор: Мадик06
Предмет: Математика,
автор: marina623221
Предмет: История,
автор: Алькапонэ312
Предмет: Математика,
автор: оллирм