Предмет: Алгебра,
автор: arsenijgrigore
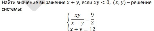
Помогите, пожалуйста...
Приложения:
Ответы
Автор ответа:
1
___________
Ответ: ( -6; 18)
Ответ: ( -6; 18)
Приложения:
Автор ответа:
1
Готово! Ответ на фото:
Приложения:
Похожие вопросы
Предмет: История,
автор: nikitakrestanov
Предмет: Математика,
автор: gorlunovaanna50
Предмет: Математика,
автор: bublyplay123
Предмет: Химия,
автор: forzering
Предмет: Алгебра,
автор: Riw1