Предмет: Математика,
автор: andrianovak123
Помогите пожалуйста!! Срочно !!
Приложения:
Ответы
Автор ответа:
0
................................
Приложения:
Автор ответа:
0
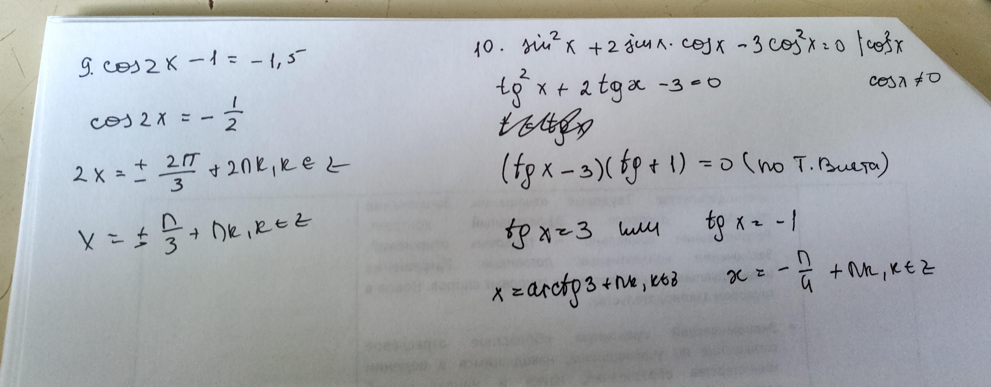
10) Делим на cos^2x на равный нулю:
tg^x + 2 tgx -3 =0
tgx = a
a^2+2a -3 =0
D = 16
x1 = -3; cost = -3 -корней нет
х2 = 1; cosx =1; x = 2П n
Ответ: 2Пn
tg^x + 2 tgx -3 =0
tgx = a
a^2+2a -3 =0
D = 16
x1 = -3; cost = -3 -корней нет
х2 = 1; cosx =1; x = 2П n
Ответ: 2Пn
Похожие вопросы
Предмет: Русский язык,
автор: koshmidkina
Предмет: ОБЖ,
автор: lugovaiamilana
Предмет: Информатика,
автор: natalymelenteva1986
Предмет: Литература,
автор: ученик867
Предмет: Математика,
автор: светадыкина