Предмет: Алгебра,
автор: mariiiiiii181
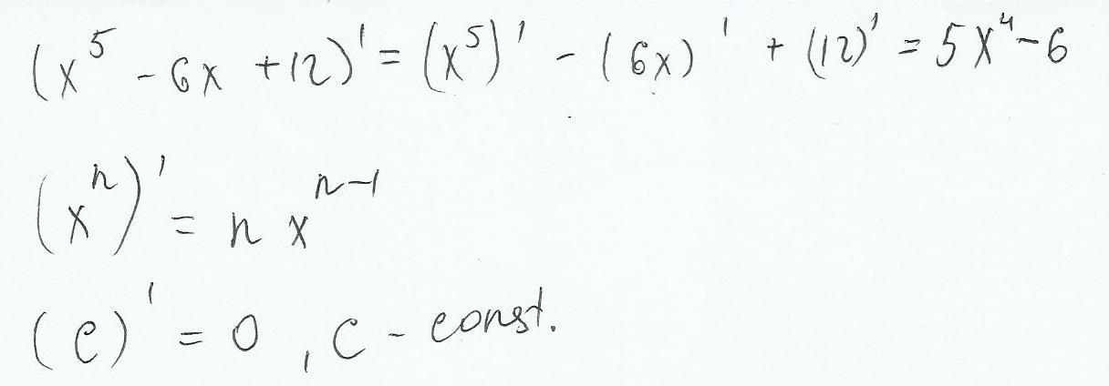
Решите пожалуйстааааа (x^5-6x+12)'
Fastlike:
Это производная?
да
Ответы
Автор ответа:
1
Автор ответа:
0
Решение во вложении.
Приложения:
Похожие вопросы
Предмет: Математика,
автор: jmlabel11
Предмет: Математика,
автор: nurymzhan09
Предмет: История,
автор: annadacenko5682
Предмет: Математика,
автор: kostyabogachev
Предмет: Литература,
автор: vaneevamihail