Предмет: Математика,
автор: huisosigavno
Точка движется прямолинейно по закону s=4t^2-5t+3
Найдите значение скорости в момент времени t=5
Ответы
Автор ответа:
0
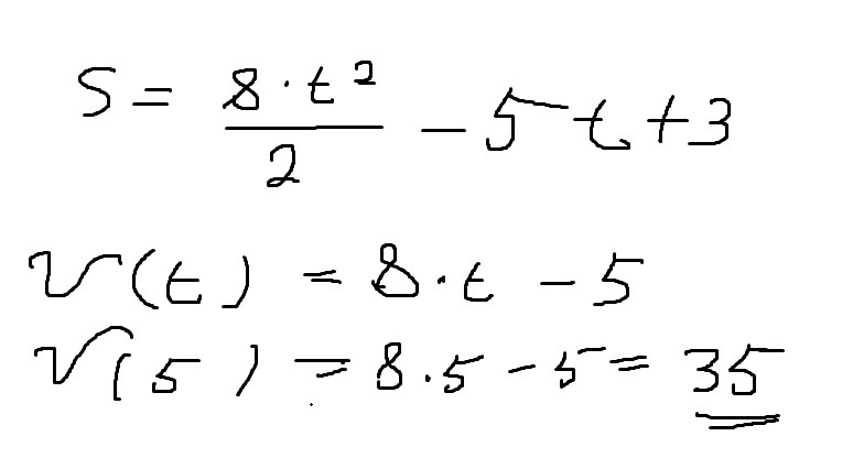
S=8*t^2/2-5t+3
V(5)=8*5-5=35
Приложения:
huisosigavno:
Спасибо!
Похожие вопросы
Предмет: Физика,
автор: kata53213
Предмет: Математика,
автор: Аноним
Предмет: Математика,
автор: Lily2015
Предмет: Алгебра,
автор: ditss
Предмет: Математика,
автор: Iluha77