Предмет: Математика,
автор: 0Romana0
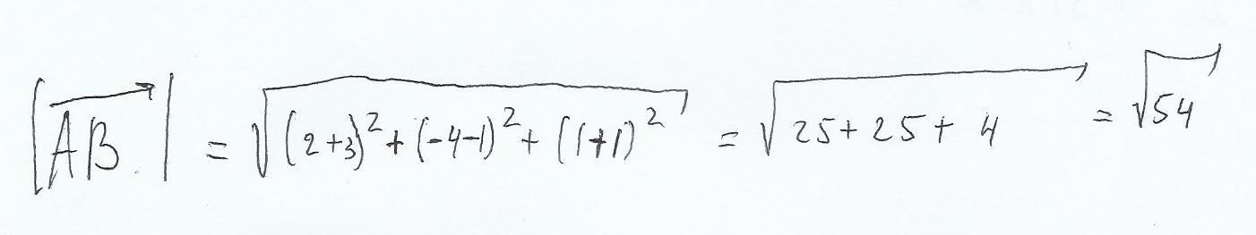
Даны координаты точек А(-3; 1;-1) и В(2;-4;1). Вычислить длину вектора
Ответы
Автор ответа:
3
Решение во вложении.
Приложения:
Похожие вопросы
Предмет: Математика,
автор: gotigron22
Предмет: Математика,
автор: kola2009
Предмет: Литература,
автор: auelkanzere
Предмет: История,
автор: НикитаФомин121
Предмет: Математика,
автор: арс53