Предмет: Алгебра,
автор: smailharlamov
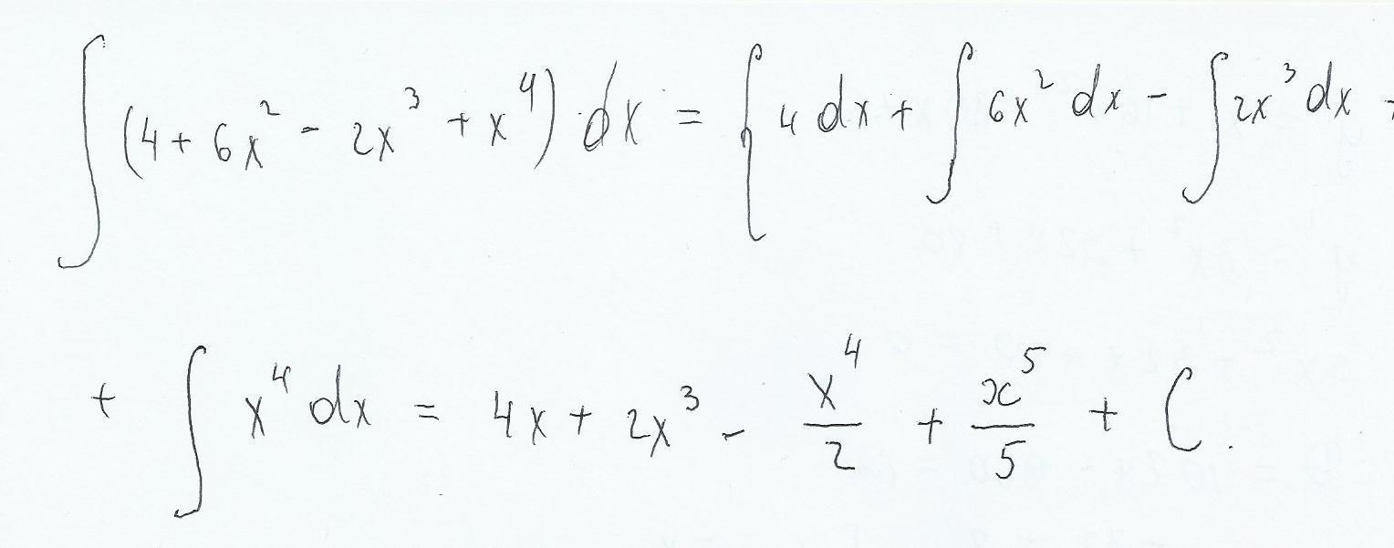
f(x)=4+6x 2-2x 3+x 4
Найдите все первообразные функции
Ответы
Автор ответа:
0
Решение во вложении.
Приложения:
Похожие вопросы
Предмет: Английский язык,
автор: anatepajkina
Предмет: Обществознание,
автор: stasyun91111
Предмет: Математика,
автор: leiliyerzhan
Предмет: Математика,
автор: danilzhm26