Предмет: Алгебра,
автор: ilu2
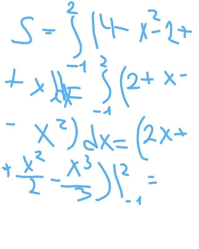
вычислите площадь фигуры ограниченной параболой и прямой
Приложения:
Ответы
Автор ответа:
1
Держи.
Ответ: S = 9/2.
Ответ: S = 9/2.
Приложения:
Похожие вопросы
Предмет: География,
автор: sosok13grekov
Предмет: Литература,
автор: snegurvasya
Предмет: Математика,
автор: salahielvira
Предмет: Алгебра,
автор: DiankAMilovanova
Предмет: Математика,
автор: Anastasia55na