Предмет: Алгебра,
автор: Оладушка666
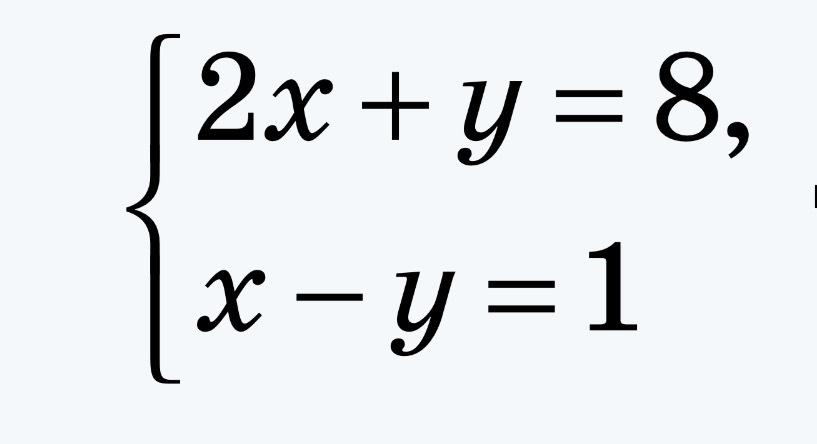
Помогите пожалуйста срочно! Добрые люди! Решите пожалуйста систему ГРАФИЧЕСКИМ СПОСОБОМ!!!Решите её пожалуйста на листе бумаги, и вышлите фото в ответ)))))) (Сделайте вместе с графиком)
Буду очень благодарна
Приложения:
Ответы
Автор ответа:
1
Держи.
Ответ: решение - (3,2).
Ответ: решение - (3,2).
Приложения:
Оладушка666:
Спасибо большое
Похожие вопросы
Предмет: Математика,
автор: asanalimaksut06
Предмет: Русский язык,
автор: Luli2710
Предмет: История,
автор: satybaldyajganym95
Предмет: Литература,
автор: hlebnikovakris
Предмет: Математика,
автор: раяна3411