Предмет: Математика,
автор: VictorParadaise
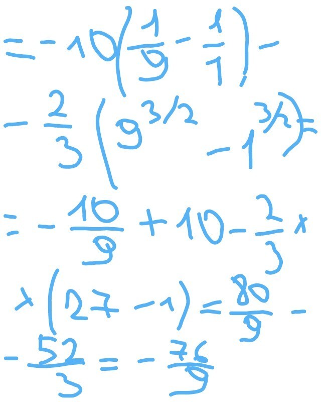
Решите определенный интеграл
Желательно по действиям
Приложения:
Ответы
Автор ответа:
0
Держи. Вроде так, но мог ошибиться где-то по невнимательности.
Приложения:
Похожие вопросы
Предмет: Математика,
автор: gabbasovadilnaz4
Предмет: Математика,
автор: kseniasychyowa
Предмет: Математика,
автор: lutcenkor
Предмет: Алгебра,
автор: linafilatova9