Предмет: Математика,
автор: petyakudryavce
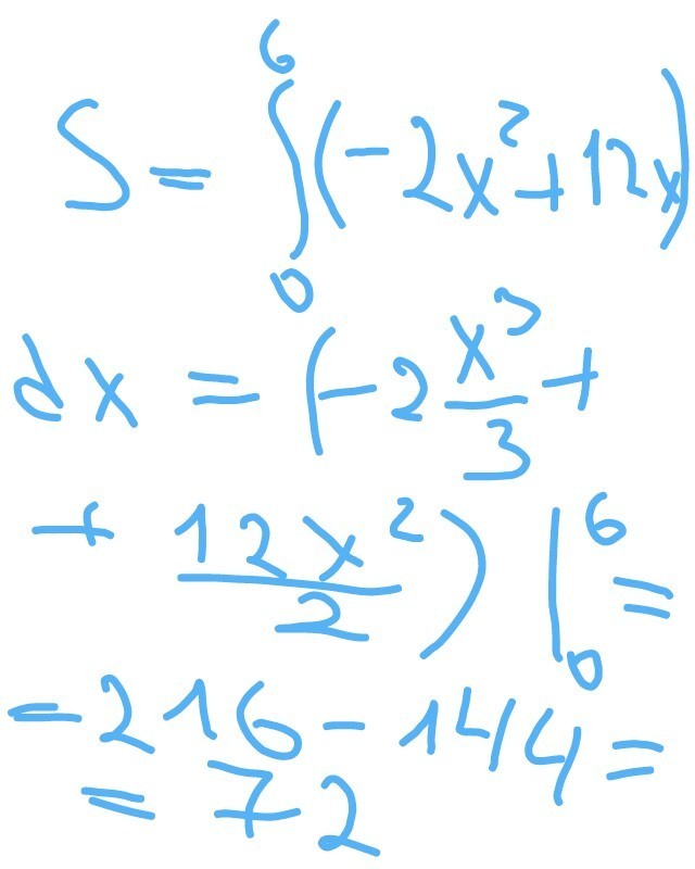
вычислите площадь фигуры ограниченной линиями y=-2x^2+12x и y=0
petyakudryavce:
нужно ли в начале решения приводить пример к виду квадратного?
Ответы
Автор ответа:
1
Держи.
Ответ: S = 72.
Ответ: S = 72.
Приложения:
Похожие вопросы
Предмет: Қазақ тiлi,
автор: elmira130290kz
Предмет: Математика,
автор: sevdahesenova738
Предмет: Литература,
автор: fjkngfd56
Предмет: География,
автор: Mrcold1234
Предмет: Математика,
автор: Ebajdachenko