Предмет: Математика,
автор: robin66
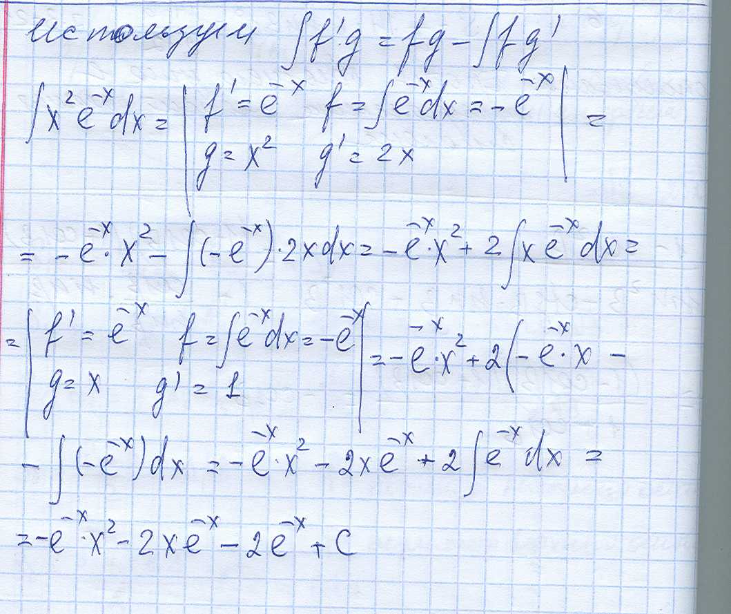
Решить интеграл
Ответы
Автор ответа:
1
решение
-----------------------------------
Приложения:
Похожие вопросы
Предмет: Қазақ тiлi,
автор: dpetrenko186
Предмет: Алгебра,
автор: e433639
Предмет: Қазақ тiлi,
автор: otashenov2008
Предмет: Математика,
автор: artak2
Предмет: Математика,
автор: Bulkin78