Предмет: Физика,
автор: maxhanyn1
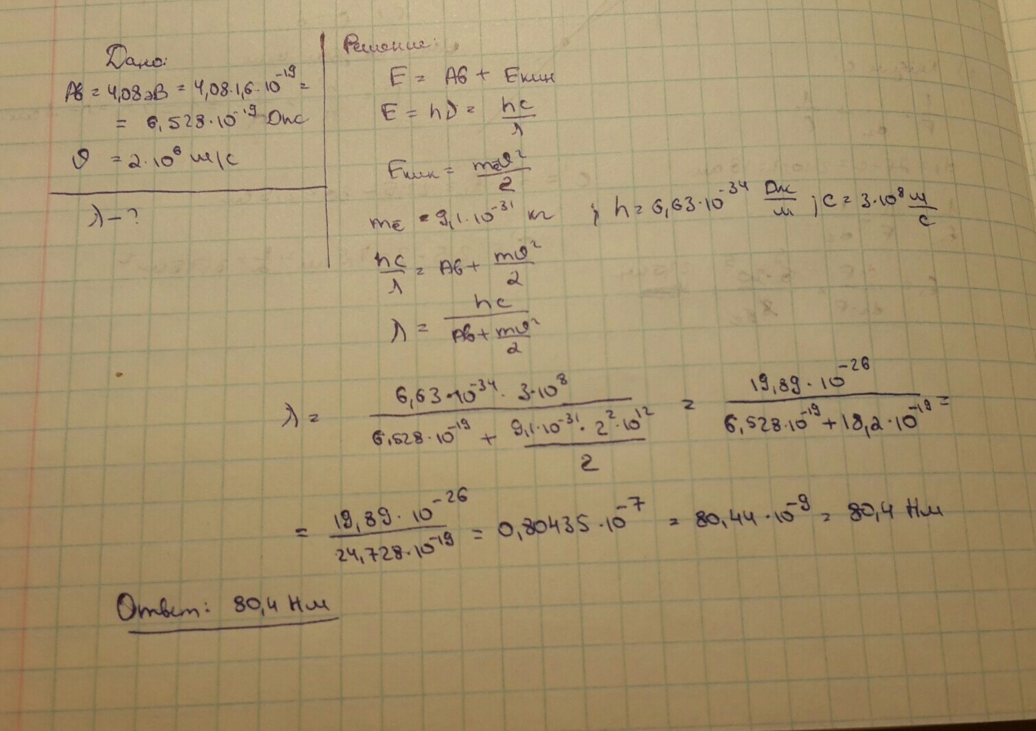
Задача. Работа выхода электронов из кадмия доривнюс 4.08 эВ. Какой должна быть длина волны излучения, палас на кадмий, чтобы при фотоэффекте максимальная скорость электронов была равной 2 • 10 6 м / с.
Ответы
Автор ответа:
3
Решение на фотографии
Приложения:
Похожие вопросы
Предмет: Математика,
автор: sabinanavruzova89
Предмет: Английский язык,
автор: imaniman46
Предмет: Химия,
автор: Аноним
Предмет: Биология,
автор: ол11231ё263еся