Предмет: Химия,
автор: tatatarstan
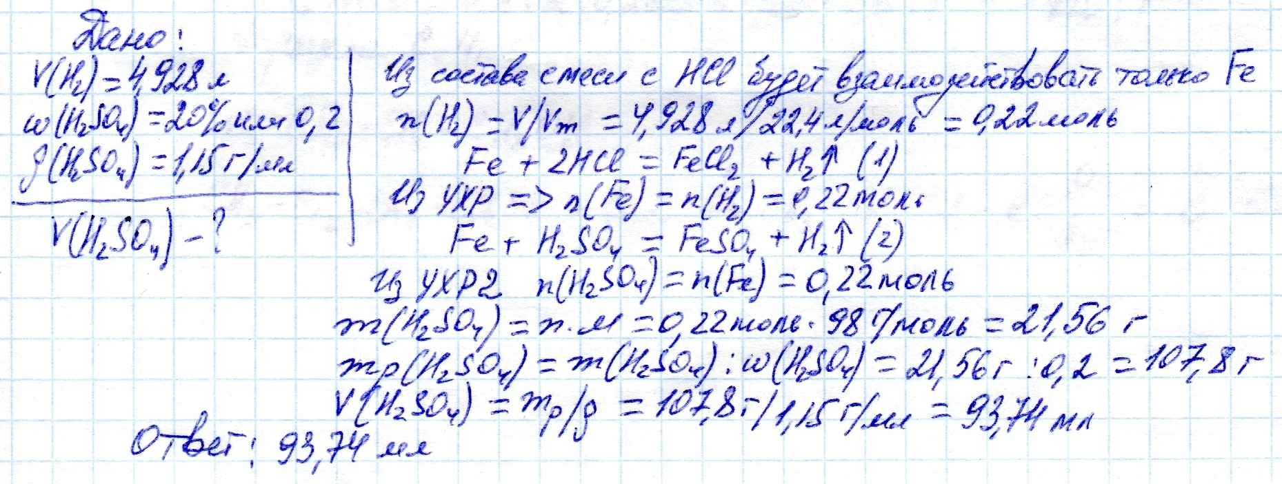
Смесь железных и медных опилок обработали избытком разбавленной соляной
кислоты, при этом выделилось 4,928 л (н.у.) водорода. Вычислите объём 20%-ного раствора
серной кислоты (плотностью 1,15 г/мл), необходимого для растворения всего железа,
содержащегося в исходной смеси. Дано, решение, ответ
Ответы
Автор ответа:
5
.........................................................................
Приложения:
Похожие вопросы
Предмет: Математика,
автор: vovalavys007
Предмет: Математика,
автор: alimamuhamedia
Предмет: Информатика,
автор: redkovaleria643
Предмет: Математика,
автор: Gromova13
Предмет: Математика,
автор: ГорбуноваВика1