Предмет: Химия,
автор: 67293993
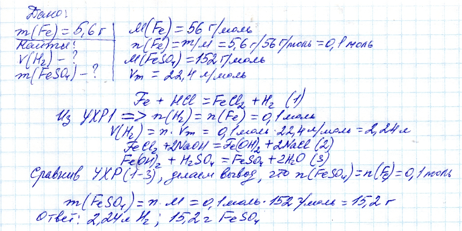
5,6 г железа прореагировало с соляной кислотой, затем на образовавшуюся соль подействовали раствором едкого натра, образовавшийся осадок растворили разб. серной к-той. Определите объем газа и массу конечной соли. Подробное решение с уравнениями химреакций, дано, ответ
Ответы
Автор ответа:
6
................................................................
Приложения:
Похожие вопросы
Предмет: Информатика,
автор: feddersh
Предмет: Химия,
автор: eugeniodepez
Предмет: Алгебра,
автор: royalehighroblox186
Предмет: История,
автор: artemgulyaev03
Предмет: Биология,
автор: panteppa