Предмет: Математика,
автор: squize
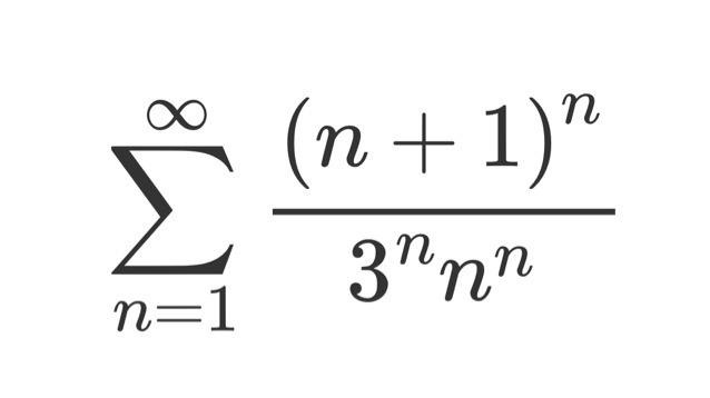
Исследовать на сходимость числовой ряд
Приложения:
Ответы
Автор ответа:
0
По признаку Коши:
Исследуемый ряд сходится.
Похожие вопросы
Предмет: Математика,
автор: danialmamytov
Предмет: История,
автор: irinali8210
Предмет: Русский язык,
автор: zaklinsaurova
Предмет: Биология,
автор: Ксюша75764
Предмет: Математика,
автор: slivkisoy