Предмет: Математика,
автор: Аноним
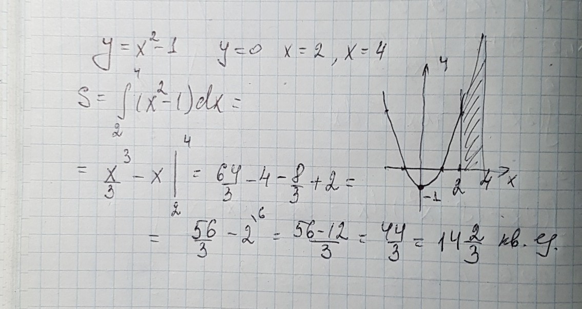
вычислить площадь криволинейной трапеции ограниченной линиями
Приложения:
Ответы
Автор ответа:
2
решение задания смотри на фотографии
Приложения:
ivanspraguepaar7t:
50/3 равняется площадь. Потому как 56/3-2=50/3.
Но ход решения правильный.
да ,я спешил и вместо 3 добавил 6.Извините.Описался.Исправте.
Похожие вопросы
Предмет: Русский язык,
автор: KustOsamu
Предмет: Математика,
автор: abylajsajdahmet
Предмет: Алгебра,
автор: vinservise
Предмет: Литература,
автор: stepvagon