Предмет: Математика, автор: anastasijamasti

Помогите сделать 2, 3 ,5. Пожалуйста помогите.

Приложения:

Regent1828: Что сделать-то, - упростить?

Ответы

Автор ответа: Regent1828
0

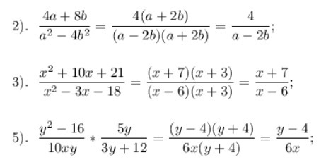
 \displaystyle 2).\ \ \frac{4a+8b}{a^{2}-4b^{2}}=\frac{4(a+2b)}{(a-2b)(a+2b)}=\frac{4}{a-2b};\\  \\  \\ 3).\ \  \frac{x^{2}+10x+21}{x^{2}-3x-18}=\frac{(x+7)(x+3)}{(x-6)(x+3)}=\frac{x+7}{x-6};\\ \\  \\5).\ \ \frac{y^{2}-16}{10xy}*\frac{5y}{3y+12}=\frac{(y-4)(y+4)}{6x(y+4)}=\frac{y-4}{6x};

Приложения:
Похожие вопросы
Предмет: Алгебра, автор: Garfildn
Предмет: История, автор: Евгения65830100