Предмет: Физика,
автор: Аноним
Ёмкость конденсатора в цепи переменного тока с частотой 50Гц С=0,003 мкФ, напряжение на клеммах 127В. Определить силу тока в цепи.
Ответы
Автор ответа:
0
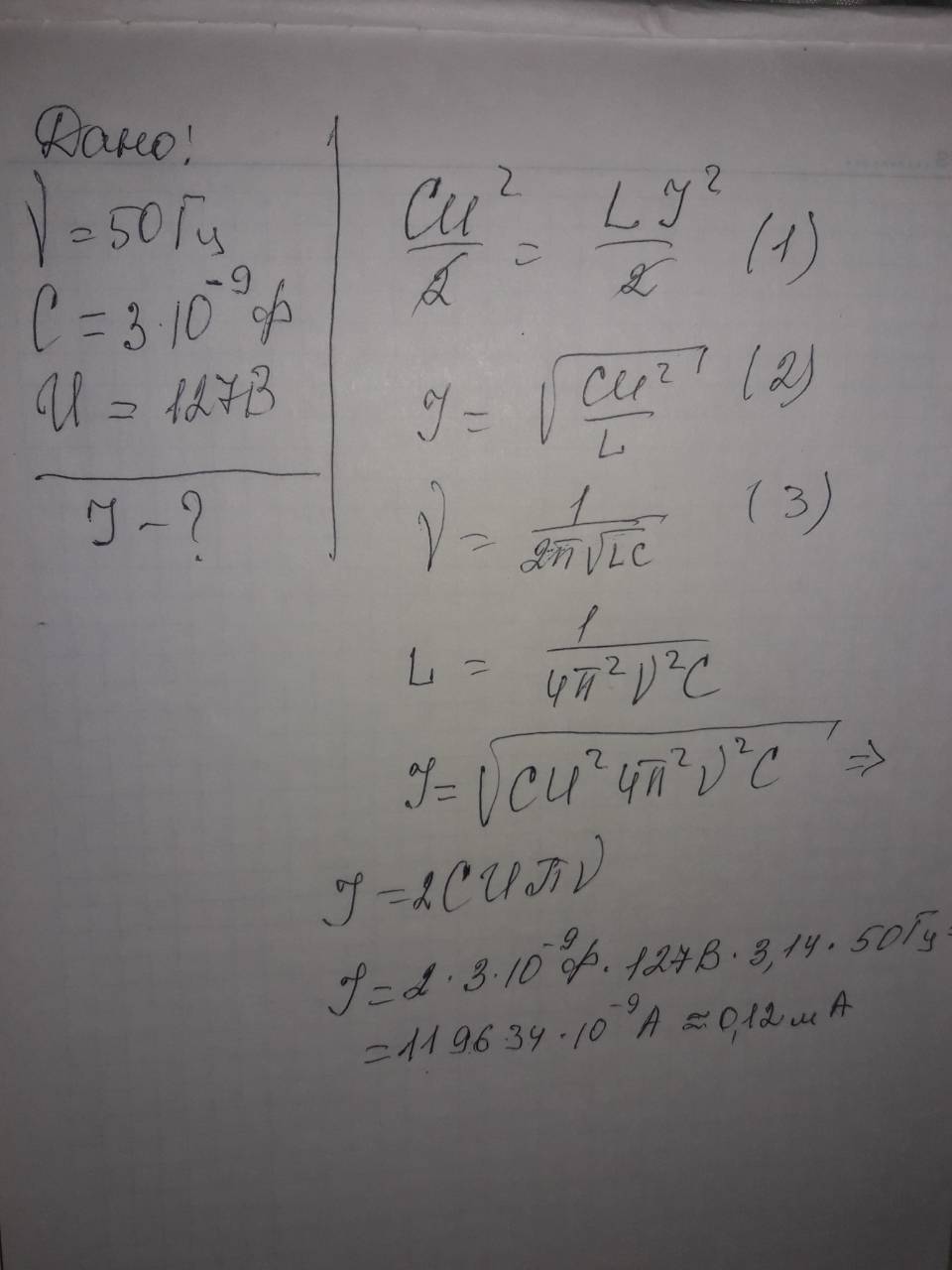
Использовав формулу Томсона и приравняв две энергии можно получить результат (Решение на фото)
Приложения:
Автор ответа:
0
1)
Емкостное сопротивление конденсатора:
Xc = 1 / (ω·C) = 1 / (2π·f·C) = 1 / (2·3,14·50·0,003·10⁻⁶) ≈ 1,06·10⁶ Ом
2)
Сила тока:
I = U / Xc = 127 / (1,06·10⁶) = 120·10⁻⁶ А или 120 мкА
Емкостное сопротивление конденсатора:
Xc = 1 / (ω·C) = 1 / (2π·f·C) = 1 / (2·3,14·50·0,003·10⁻⁶) ≈ 1,06·10⁶ Ом
2)
Сила тока:
I = U / Xc = 127 / (1,06·10⁶) = 120·10⁻⁶ А или 120 мкА
Аноним:
Можете, пожалуйста, помочь с https://znanija.com/task/29311510 ?
Цепь переменного тока, значит используется контур
Похожие вопросы
Предмет: Русский язык,
автор: myyrliska
Предмет: Информатика,
автор: aminakajsarkyzy866
Предмет: Оʻzbek tili,
автор: ochilovx419
Предмет: Литература,
автор: Аришустик
Предмет: География,
автор: Ерлан2102