Предмет: Алгебра,
автор: kulaeva1231
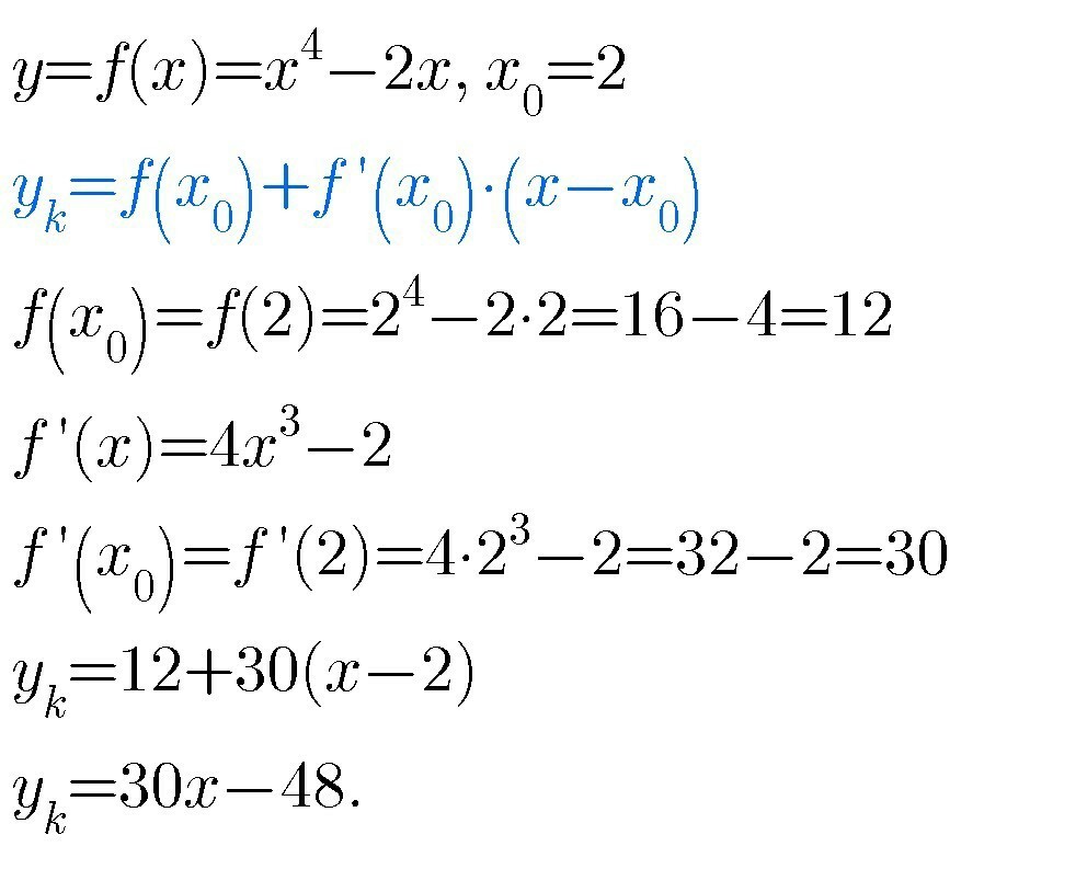
Помогите пожалуйста, нужна ваша помощь. Написать уравнение касательной к графику функции y=f(x) в точке с абсциссой х0=1, если у=х4-2х.. Помогите, очень срочно
Ответы
Автор ответа:
0
Уравнение показано выше.
Приложения:
Похожие вопросы
Предмет: Алгебра,
автор: dimonyas075
Предмет: Алгебра,
автор: michiepetrovabts
Предмет: Русский язык,
автор: auezovnurislam1
Предмет: Литература,
автор: mimi123333333
Предмет: Математика,
автор: german47