Предмет: Алгебра,
автор: sekrenevvip
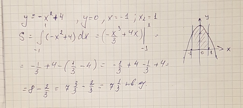
Вычислите площадь криволинейной трапеции ограниченной линиями. y=-x^2+4; y=0; x=-1, x=1
Ответы
Автор ответа:
8
решение задания смотри на фотографии
Приложения:
1233090:
пожалуйста
?смысле
в смысле ты нажал спасибо на сердечко,а я тебе написал пожалуйста.
Похожие вопросы
Предмет: Химия,
автор: hursidamesanlo
Предмет: Қазақ тiлi,
автор: comsasha09
Предмет: Русский язык,
автор: ademina7733
Предмет: Математика,
автор: katya14082000