Предмет: Алгебра,
автор: chanelyoul
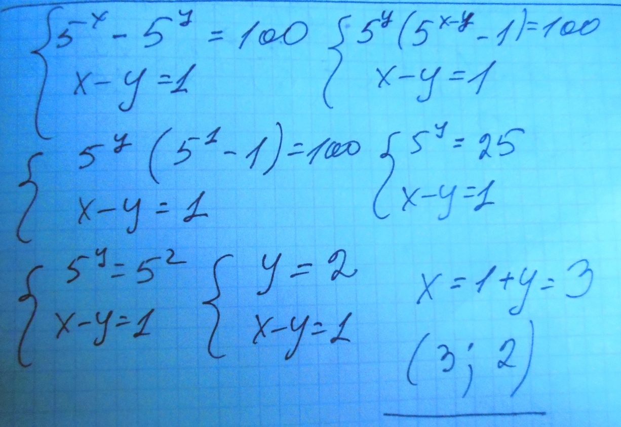
решите систему уравнений: 5^x-5^y=100 x-y=1
пожалуйста, срочно
Ответы
Автор ответа:
2
!!!!!!!!!!!!!!!!!!!!!!!!!!!!!
Приложения:
Похожие вопросы
Предмет: Қазақ тiлi,
автор: vadimoskrutos2007
Предмет: Алгебра,
автор: reyx3
Предмет: Информатика,
автор: Olgaogari159zx
Предмет: Математика,
автор: millergora