Предмет: Математика,
автор: decim1
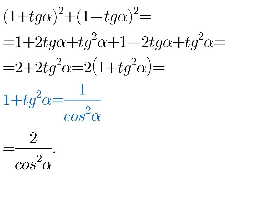
(1+tga)^2+(1-tga)^2 помогите пожалуйста
Ответы
Автор ответа:
3
.....................
Приложения:
Автор ответа:
2
Упрощение тригонометрического выражения показано выше.
Приложения:
Похожие вопросы
Предмет: Алгебра,
автор: derter96
Предмет: Английский язык,
автор: rimnatiacyuiama333
Предмет: Другие предметы,
автор: alibek10kz09
Предмет: Алгебра,
автор: LinaA25
Предмет: География,
автор: sashabess2002