Предмет: Алгебра,
автор: Аноним
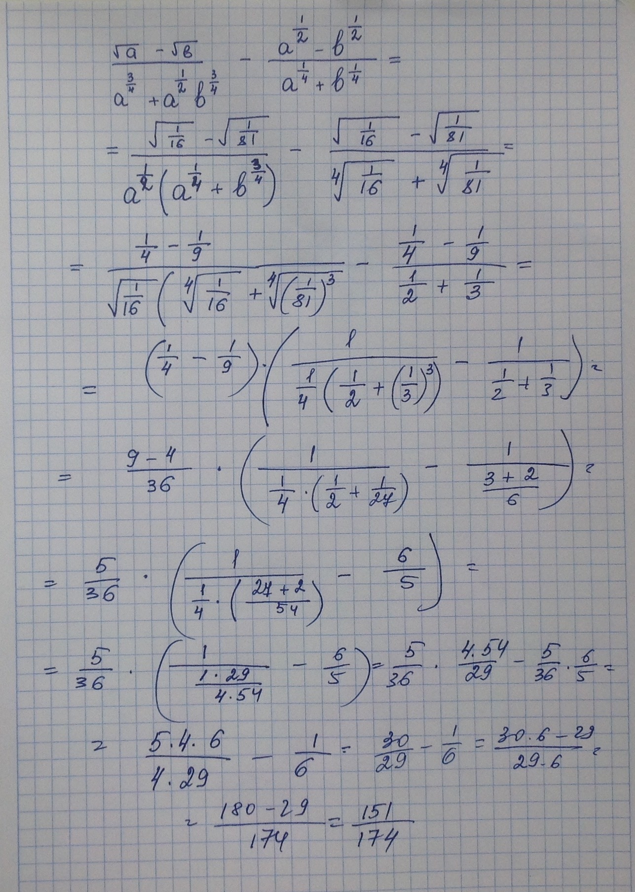
Нужно решить пример (найти числовое значение)
Приложения:
Ответы
Автор ответа:
0
Фотофотофотофотофотофото
Приложения:
Похожие вопросы
Предмет: Русский язык,
автор: sirusocolahan
Предмет: Английский язык,
автор: trapeeen
Предмет: Математика,
автор: polinazeenko27
Предмет: Математика,
автор: vladikunter
Предмет: Математика,
автор: olesya172