Предмет: Математика,
автор: lubownaya
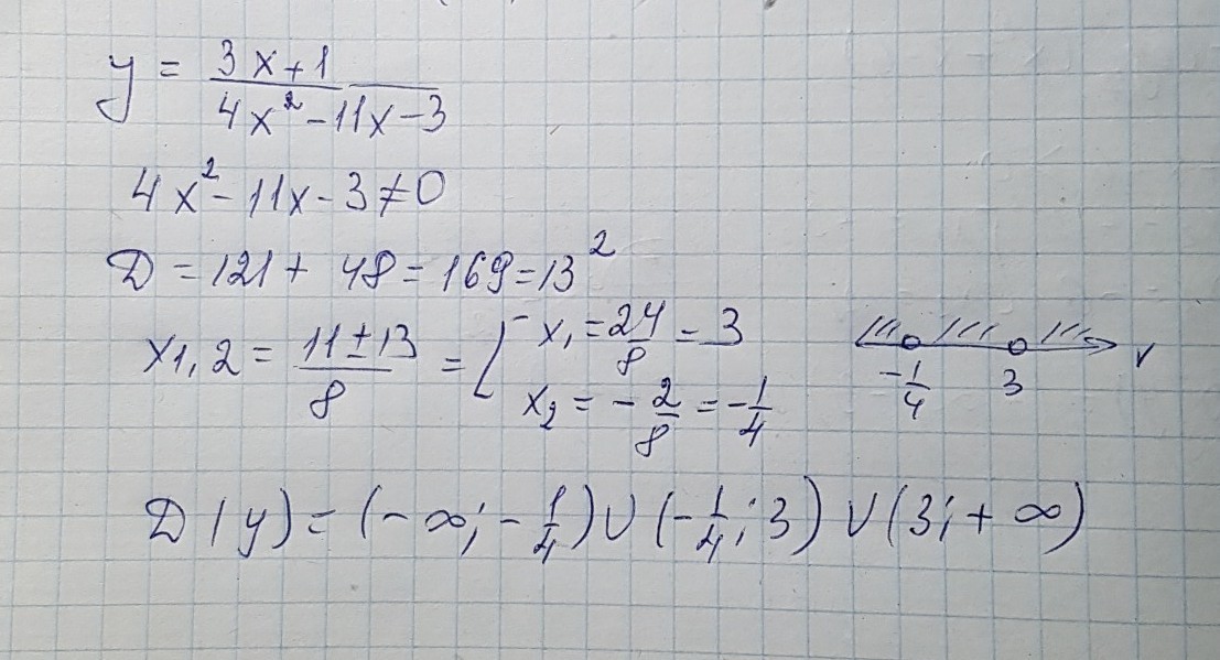
Указать область определения функции: y=3x+1/4x^2-11x-3
maksimcat:
Скобки поставьте
Ответы
Автор ответа:
1
решение задания смотри на фотографии
Приложения:
Похожие вопросы
Предмет: Математика,
автор: keishataisija
Предмет: Литература,
автор: anna7190
Предмет: Алгебра,
автор: sddssd2
Предмет: Обществознание,
автор: nejtrinoPB