Предмет: Информатика,
автор: Lisochka8766
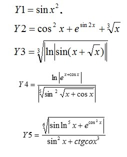
Очень срочно!!! Распишите эти формулы для использования их в Excel.
Заранее спасибо
Приложения:
Ответы
Автор ответа:
0
Y1 = SIN(x^2)
Y2 =COS(x)^2+EXP(SIN(2*x))+x^(1/3)
Y3 = (ABS(LN(ABS(SIN(x+КОРЕНЬ(x))))))^(1/3)
Y4 = LN(EXP(x+COS(x)))/ABS(((SIN(КОРЕНЬ(x+COS(x)))^2)^(1/5)))
Y2 =COS(x)^2+EXP(SIN(2*x))+x^(1/3)
Y3 = (ABS(LN(ABS(SIN(x+КОРЕНЬ(x))))))^(1/3)
Y4 = LN(EXP(x+COS(x)))/ABS(((SIN(КОРЕНЬ(x+COS(x)))^2)^(1/5)))
Похожие вопросы
Предмет: Алгебра,
автор: anastasiahudakova573
Предмет: История,
автор: ariwulja
Предмет: Литература,
автор: varapolikarpova2009
Предмет: Обществознание,
автор: katrinksk