Предмет: Физика,
автор: Maxim0063
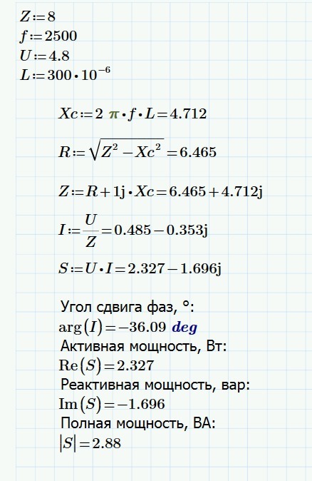
Полное сопротивление катушки z=8 Ом, её индуктивность L=300 мкГн. Действующее значение падения напряжения на ней составляет 4,8 В при частоте f=2500 Гц. Определить угол сдвига фаз между напряжением и током, построить векторную диаграмму и определить полную, активную и реактивную мощности.
Ответы
Автор ответа:
14
На векторной диаграмме масштаб — 0,5 В/дел
Приложения:
Похожие вопросы
Предмет: Математика,
автор: nikaV210910
Предмет: Биология,
автор: vikacom228
Предмет: Английский язык,
автор: adamyanlena86
Предмет: Математика,
автор: тупик20
Предмет: Математика,
автор: vandysheva83