Предмет: Алгебра,
автор: Аноним
напишите подробно на листочке
Приложения:
Ответы
Автор ответа:
0
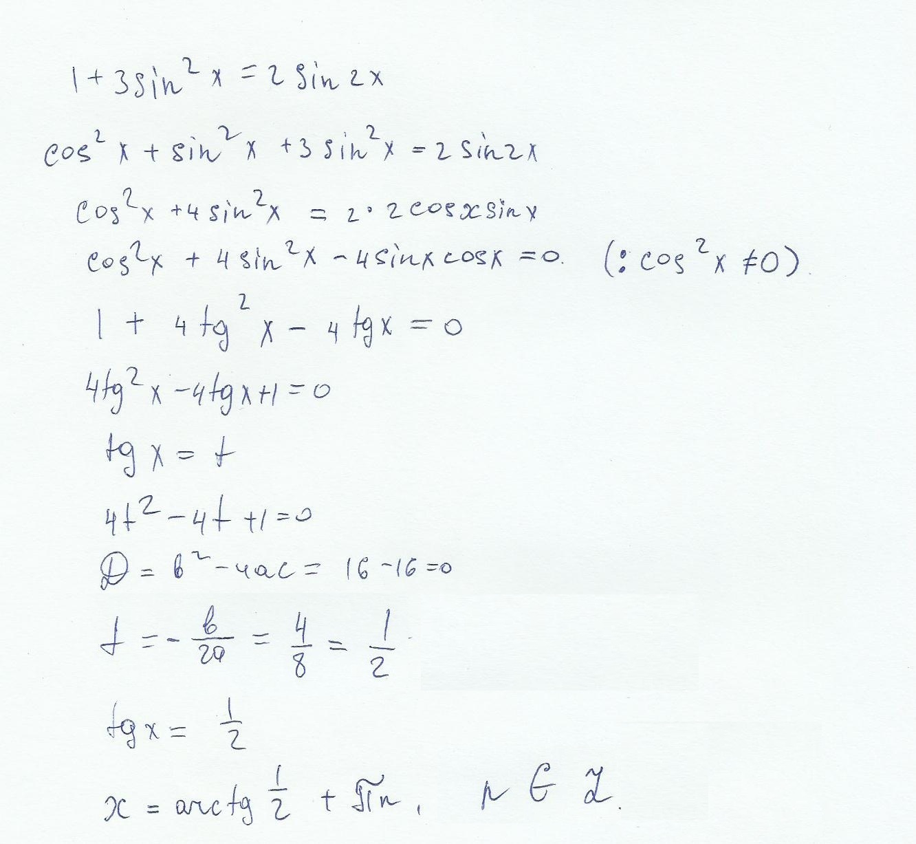
Решение во вложении.
Приложения:
Похожие вопросы
Предмет: Алгебра,
автор: kristinaalieva222
Предмет: Математика,
автор: Аноним
Предмет: Биология,
автор: yulyagubanova84
Предмет: Математика,
автор: женя647